백엔드 개발자가 노코드 툴 Airtable로 멘토링 알리미 서비스 오픈한 후기

노코드 툴 에어테이블로 알리미 서비스를 개발하고 운영한 실제 후기입니다.
커리어데이's avatar
Nov 17, 2024
백엔드 개발자가 노코드 툴 Airtable로 멘토링 알리미 서비스 오픈한 후기
에어테이블 리뷰 후기 사용기

개발자 생활을 하다보면, 간단히 기능을 구현 할 방법은 없을까? 부터 프론트엔드 개발자 없이 개발 할 수는 없을까? 등 가볍게 그리고 빠르게 개발 할 수 있는 방법이 없을지 고민하게 됩니다.

이런 방법만 있어도 간단한 개발의 경우 개발자에게 요청을 굳이 하지 않겠지? 라는 생각이랄까요? 그런 생각에서 시작했습니다.

코드 없이 개발 한다는 노코드가 얼마나 개발자를 대신 할 수 있을까? 라는 단순한 궁금증에서 시작한 Airtable 를 이용한 멘토링 알리미 시스템 구축 프로젝트에 대해 소개합니다.

에어테이블 Airtable 노코드 리뷰 후기 사용기

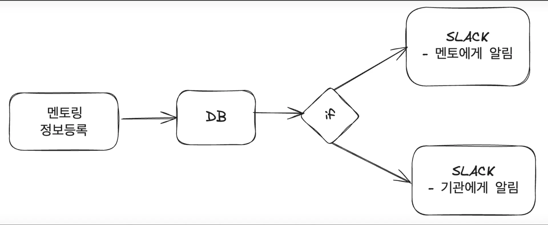
Airtable 멘토링 알리미 사이드 프로젝트에서는 교육기관에서 멘토가 필요한 교육정보를 등록합니다.

그럼 Airtable 내에 쌓여있는 멘토 데이터를 기반으로 일치하는 직무의 멘토에게 슬랙 알림을 보냅니다.

멘토가 알림을 받아 일정을 보고 멘토링을 수락하면, 교육기관과 연결이 되는 구조입니다. 여기서 Airtable 멘토링 알리미의 주요 기능은 알림과 테이블에 있습니다.

Airtable 은 테이블 구조를 RDBMS(mysql, oracle) 과 같은 방식으로 테이블 관계를 잡아 구현 할 수 있습니다.

그리고, Airtable에서 간단히 만들 수 있는 웹빌더 방식의 프론트페이지는 매우 매력적입니다. 거기에, airtable이 제공해주는 알림기능(슬랙, 메일 등)까지 사용하여 기능을 구현했습니다.

그리고, 정말 간단히 서비스를 오픈했습니다.

연락하며 지내고 있던 교육기관에도 서비스 링크를 전달했습니다. 기관들이 교육정보를 등록하니, 멘토에게 알림이 오는 그 기능을 실제 결과물로 만들어 냈습니다.

실제 오픈 링크 : https://auspicious-metal-743.notion.site/2115cb50696047fa86750be0fd54e2f5

에어테이블 Airtable 노코드 리뷰 후기 사용기

개발자가 개발을 한다면 mySQL, Oracle 과 같은 관계형 데이터베이스를 설치하고, 서버를 셋팅하고, 운영체제를 설치하고, 각종 개발언어와 프레임워크를 이용하여 개발을 진행합니다.

그런데, Airtable로 구현하면, DB를 설치할 필요도 없고, 서버를 셋팅 할 필요도 없습니다. 또한 개발언어와 프레임워크를 구사하는 개발자도 필요없습니다.

단지, 관계형 데이터베이스의 테이블에 대한 이해도와 Airtable을 사용하기 위한 간단한 지식 정도만 필요합니다.

PM이나 기획자와 같이 IT 구현 흐름에 대한 이해도 있다면 더더욱 좋습니다.

이제 무엇을 구현 할 지에 대한 아이디어와 실행력만 있으면 개발자 없이도 서비스를 만들 수 있는 세상이 왔습니다.

에어테이블 Airtable 노코드 리뷰 후기 사용기
에어테이블 Airtable 노코드 리뷰 후기 사용기
에어테이블 Airtable 노코드 리뷰 후기 사용기

프론트엔드 개발자도 필요없습니다. Airtable에서는 웹빌더 방식의 프론트엔드 개발 방법을 제공해줍니다.

마우스로 selectbox, inputbox 등을 선택하여, 기능에 맞게 화면을 구성할 수 있습니다. 그리고 버튼을 이용해 간단히 데이터를 전송할 수 있습니다.

이렇게 제공해주는 웹빌더 방식의 프론트엔드 개발로 간단한 랜딩페이지 혹은 관리자 페이지 정도는 손쉽게 만들어 낼 수 있습니다.

물론 커스터마이징한 프론트 개발과 Airtable의 API와 연동시켜, 좀 더 컴팩트하고 효율적인 기능을 구현 할 수도 있습니다.

웹 빌더와 커스터마이징 개발을 혼합하면 정말 멋진 서비스를 만들어 낼 수 있습니다.

에어테이블 Airtable 노코드 리뷰 후기 사용기
에어테이블 Airtable 노코드 리뷰 후기 사용기

간단히 서비스를 구축하여 테스트를 해보고 싶은 기획자, 랜딩페이지를 제작하고 싶은 마케터 등 개발자 없이 서비스를 만들고자 하는 분들, 알림 기능을 이용해 업무자동화를 하고자 하는 직장인 분들 등 어떤 분이든 서비스의 목적이 명확한 분들이라면 누구든 손쉽게 Airtable을 이용하여 서비스를 만들 수 있습니다.

Airtable은 실제로 Netflix, Upwork, AirStream과 같은 곳에서 컨텐츠 관리, 차량 생산 관리등 관리 영역에서 활발히 사용되고 있는 만큼 개인이 필요에 따라 시스템으로 잘 녹여 낸다면 정말 좋은 나만의 무기로 만들 수 있습니다.

에어테이블 Airtable 노코드 리뷰 후기 사용기

airtable로 간단한 사이드 프로젝트를 진행해보니, 정말 멋지다라는 생각과 시장에서 어느정도까지 사용할 수 있을까? 라는 의문이 동시에 들었습니다.

결론만 놓고 보면 airtable은 정말 좋은 툴입니다. 비용의 관점으로 볼 때 AWS 발생하는 비용만 놓고 보더라도 정말 적은 비용으로 관리가 가능합니다.

직관적으로 개발을 수행 할 수 있다는 점에서 기획자에게 airtable을 전파하고 싶다는 생각도 들었습니다.

간단한 기능들은 개발자 없이도 만들 수 있으니, 내부에서 사용하는 어드민과 같은 서비스를 airtable로 구성하면 정말 좋겠다라는 생각이듭니다.

복잡한 개발 없이 간단한 서비스를 만들 수 있다는 큰 이점을 개발자와 지속적으로 소통해야 하는 사람들이 하나의 도구로 사용한다면 정말 큰 무기가 될 수 있겠다라는 생각과 airtable을 잘 활용하면 개발자는 더 어려운 개발에만 집중할 수 있는 효율적인 업무문화가 만들어 질 수 있겠다라는 확신이 생겼습니다.

✍️ 디케이테크인 백엔드개발자 참지않는한국다람쥐님의 에어테이블 리뷰, 어떠셨나요?

이런 리뷰를 쓰시면, 최대 20만원의 부수입을 벌 수 있어요! 👉 지원하러 가기

Share article

커리어데이 주식회사